Calculations behind the job effect and level of evidence
Walkthrough of how job effect and level of evidence is calculated on Jobeffekter.dk
Walkthrough of how job effect and level of evidence is calculated on Jobeffekter.dk
On Jobeffekter.dk you can view the job effect for a given intervention and target group, and the level of evidence for the job effect. The following describes the calculation of the job effect and the level of evidence in six steps.
First, the knowledge contribution is calculated for all results concerning the intervention and the target group by using the weights of the study and the combination factor:
![]()
The "knowledge contribution" describes the value that should be added to a result when calculating the job effect. The knowledge contribution can be between 0 and 1.
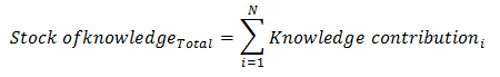
The overall stock of knowledge for the job effect is then calculated by aggregating the calculated knowledge contributions:
The "stock of knowledge describes" the knowledge base underlying the job effect when taking into account the quality and relevance of the results. The aggregated stock of knowledge is added up for each of the possible effect directions. The stock of knowledge is aggregated separately for study results with:
If the stock of knowledge is less than 1, the level of evidence is assessed to be uncertain and the overall conclusion on the effect will be "Few studies".
The stock of knowledge supporting a given effect direction is calculated as:

The dominant effect direction is then selected by calculating and comparing the stock of knowledge for each of the possible effect directions (positive, negative and no effect). The stock of knowledge that supports a given effect direction is calculated as:

Where Ri indicates the effect direction in result i, that is Ri {-1, 0, +1}
The stock of knowledge for each of the three effect directions is used to determine whether the dominant effect direction is negative, positive or has no effect. An effect direction is dominant if the stock of knowledge supporting the effect direction is greater than the stock of knowledge not supporting the effect direction. The dominant effect direction is therefore determined as follows:

Where rmax <math xmlns="http://www.w3.org/1998/Math/MathML"><mstyle displaystyle="true"><msub><mi>r</mi><mrow><mi>m</mi><mi>a</mi><mi>x</mi></mrow></msub></mstyle></math>rr indicates the dominant effect direction, and -1 corresponds to a negative effect, 0 corresponds to no effect and +1 corresponds to a positive effect.
If no dominant effect direction can be determined, the overall conclusion on effect will be “Conflicting".
When the dominant effect direction has been determined, the relative net stock of knowledge (Danish abbreviation NVM - nettovidensmængde) is calculated by dividing the stock of knowledge supporting the dominant effect direction by the overall stock of knowledge:

The greater the percentage of the overall stock of knowledge supporting the dominant effect direction, the greater the relative net stock of knowledge. If all studies support the same effect direction, the value of the relative net stock of knowledge is 1.
If the net stock of knowledge is less than 0.55, the overall conclusion on the effect will be "Few studies" or "Conflicting".
The job effect can be determined on the basis of the above.
The job effect is determined on the basis of whether the overall stock of knowledge and net stock of knowledge are greater or smaller than 1 and 0.55, respectively. The job effect equals the dominant effect direction, if the overall stock of knowledge is greater than 1 and the net stock of knowledge (NVM) is between 0.55 and 1. The job effect is therefore determined as follows:

Where rmax indicates the dominant effect direction which can be positive, negative or have no effect.
On the basis of the value of the relative net stock of knowledge, the level of evidence is assessed for the job effect. The level of evidence describes how robust the job effect is assessed to be, and the effect can have "Strong evidence", "Moderate evidence", be an "Indication" or "Uncertain".
The categorization of the level of evidence is based in the following intervals of the net stock of knowledge:

As a registered user, you can send job effect searches to colleagues/friends and save search criteria, results and studies in My library. Additionally, you will have access to submit studies for registration in the data base which you think should be on Jobeffekter.dk. You get access to it all via My Pages, when you are signed in as a registered user.